Peer-Reviewed Publications
2025

Mohammad Javad Raei, Milana Trifkovic, Edward PL Roberts, Giovanniantonio Natale, ACS Applied Energy Materials Vol 8/Issue 15

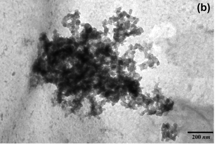
Sucharita Pal, Edward PL Roberts, Milana Trifkovic, Giovanniantonio Natale, Communications Materials volume 6, Article number: 130 (2025)

53. Bioprinting of hepatic tissue model using photocrosslinkable dECM-containing composite hydrogel
Nima Tabatabaei Rezaei, Hitendra Kumar, Hongqun Liu, Ashna Rajeev, Giovanniantonio Natale, Samuel S Lee, Simon S Park, Keekyoung Kim, Volume 32, June 2025, 101824, https://doi.org/10.1016/j.mtbio.2025.101824

52. Magnetorheological response of homogeneous and Janus iron-oxide coated silica particles
Samin Habibi, Steven L Bryant, Roman J Shor, Giovanniantonio Natale, Journal of Rheology (2025), https://doi.org/10.1122/8.0000890

51. United States Patent. Silica modified vaterite janus drug delivery particles.
Inventor: Giovanniantonio Natale, Harsovin Kaur
2024

50. Progress in Rheology of Active Colloidal Systems
John, J., Panahi, A., Pu, D., & Natale, G., Current Opinion in Colloid & Interface Science, (2024), https://doi.org/10.1016/j.cocis.2024.101886.

Pu, D., Panahi, A., Natale, G., & Benneker, A. M., The Journal of Chemical Physics, (2024), https://doi.org/10.1063/5.0224865

48. A Novel Synthesis Method of Magnetic Janus Particles for Wastewater Applications
Habibi, S., Bautista, M. A., Bryant, S. L., Shor, R. J., & Natale, G., Journal of Colloid and Interface Science, (2024), https://doi.org/10.1016/j.jcis.2024.05.056

47. Anisotropic Hydrogel Scaffold By Flow-induced Stereolithography 3D Printing Technique
Mehdipour, N. M., Rajeev, A., Kumar, H., Kim, K., Shor, R. J., & Natale, G., Biomaterials Advances, 2024, https://doi.org/10.1016/j.bioadv.2024.213885

46. Thermocapillary Motion of a Solid Cylinder Near a Liquid–Gas Interface: Janus Geometry
Arslanova, A., Natale, G., Fransen, S., Reddy, N., Clasen, C., & Fransaer, J., Physics of Fluids, (2024), https://doi.org/10.1063/5.0195502

Pu, D., Panahi, A., Natale, G., & Benneker, A. M., Nano Letters, (2024), https://doi.org/10.1021/acs.nanolett.3c04861

44. Rheological Behavior of SiO2 NP/CTAB/PPA Wormlike Micelles in Alcohol/Water Mixture
Han, H., Husein, M.M. & Natale, G., Rheol Acta, 63, 157–166, (2024), https://doi.org/10.1007/s00397-024-01432-4

Mehdipour, N. M., Kumar, H., Kim, K., Sundararaj, U., Shor, R. J., & Natale, G., Journal of the Mechanical Behavior of Biomedical Materials, 150, 106285, (2024), https://doi.org/10.1016/j.jmbbm.2023.106285

Pal, S., Roberts, E. P., Trifkovic, M., & Natale, G., Journal of Materials Chemistry A, (2024), https://doi.org/10.1039/D4TA00301B
2023

Khalesi Moghaddam, R., Mhatre, S., Yarranton, H. W., & Natale, G., Langmuir, 39(48), 17009-17020, (2023), https://doi.org/10.1021/acs.langmuir.3c01183

Han, H., Husein, M. M., & Natale, G., Physics of Fluids, 35 (10), (2023), https://doi.org/10.1063/5.0167760

Moghaddam, R. Khalesi, H. W. Yarranton, and G. Natale., Chemical Engineering Science, 280, 119065, (2023), https://doi.org/10.1016/j.ces.2023.119065

Issa, H., Natale, G., Ausias, G., & Férec, J., Physical Review Fluids, 8(3), (2023), https://doi.org/10.1103/PhysRevFluids.8.033302

37. Colloid Thermophoresis in the Dilute Electrolyte Concentration Regime: From Theory to Experiment
Pu, D., Panahi, A., Natale, G., & Benneker, A. M., Soft Matter, 19(19), (2023), https://doi.org/10.1039/D2SM01668K

36. Self-generated Exclusion Zone in a Dead-end Pore Microfluidic Channel
Nooryani, Matina, Anne M. Benneker, and Giovanniantonio Natale., Lab on a Chip, 23(8), (2023), https://doi.org/10.1039/D2LC01130A
2022

35. Viscoelastic Behavior of Dilute Polyelectrolyte Solutions in Complex Geometries
Das, Subham K., Giovanniantonio Natale, and Anne M. Benneker., Journal of Non-Newtonian Fluid Mechanics, 309,104920, (2022),https://doi.org/10.1016/j.jnnfm.2022.104920

34. Interfacial Micro and Macro Rheology of Fractionated Asphaltenes
Moghaddam, R. Khalesi, H. W. Yarranton, and G. Natale., Colloids and Surfaces A: Physicochemical and Engineering Aspects, 651, 129659, (2022), https://doi.org/10.1016/j.colsurfa.2022.129659

33. Interfacial Microrheology: Characteristics of Homogeneous and Heterogeneous Interfaces
Moghaddam, R.K., Roy, T. & Natale, G., Rheol Acta, 61, 733–744, (2022). https://doi.org/10.1007/s00397-022-01354-z

32. Large Amplitude Oscillatory Shear Flow: Microstructural Assessment of Polymeric Systems
Kamkar, Milad, et al., Progress in Polymer Science, 132, 101580, (2022), https://doi.org/10.1016/j.progpolymsci.2022.101580

31. Orientation Dynamics of Anisotropic and Polydisperse Colloidal Suspensions
Mohammad Mehdipour, Narges, et al., Physics of Fluids, 34(8), (2022), https://doi.org/10.1063/5.0101702

30. CFD Based Analysis of 3D Printed Nasopharyngeal Swabs for COVID-19 Diagnostics
Singh, Sundeep, Raied Aburashed, and Giovanniantonio Natale., Computer Methods and Programs in Biomedicine, 223, 106977, (2022),https://doi.org/10.1016/j.cmpb.2022.106977

29. A Greener Route for Smart PNIPAm Microgel Synthesis Using a Bio-based Synthesis-solvent
Rana, Md Mohosin, Giovanniantonio Natale, and Hector De la Hoz Siegler., European Polymer Journal, 174, 111311, (2022), https://doi.org/10.1016/j.eurpolymj.2022.111311.

28. Transformation of petroleum asphaltenes to carbon fibers
Saad, Shabab, et al. , Carbon, 190, (2022), https://doi.org/10.1016/j.carbon.2022.01.011

27. Anisotropy and Nanomechanics of Cellulose Nanocrystals/Polyethylene Glycol Composite Films
Rajeev, A., and Natale, G., Biomacromolecules, 23(4), (2022), https://doi.org/10.1021/acs.biomac.1c01392

26. Dynamics of Brownian Janus rods at a liquid–liquid interface
Hossain, Gates, I. D., and Natale, G., Physics of Fluids (1994), 34(1),(2022), https://doi.org/10.1063/5.0076148

25. Superparamagnetic SiO2@Fe3O4 core/shell fabrication via low-temperature electroless deposition
Habibi, Bryant, S., Shor, R., and Natale, G., Materials Chemistry and Physics, 277, 125443, (2022), https://doi.org/10.1016/j.matchemphys.2021.125443
2021

24. Tunable metacrylated hyaluronic acid-based hybrid bioinks for stereolithography 3D bioprinting
Hossain Rakin, Kumar, H., Rajeev, A., Natale, G., Menard, F., Li, I. T. S., and Kim, K., Biofabrication, 13(4), 44109, (2021), https://doi.org/10.1088/1758-5090/ac25cb

23. Self-healing, stretchable, and highly adhesive hydrogels for epidermal patch electrodes
Zhou, Rajeev, A., Subramanian, A., Li, Y., Rossetti, N., Natale, G., Lodygensky, G. A., and Cicoira, F., Acta Biomaterialia, 139, 296-306, (2021), https://doi.org/10.1016/j.actbio.2021.07.069.

Md Mohosin Rana, Ashna Rajeev, Giovanniantonio Natale, and Hector De la Hoz Siegler., Journal of Materials Research and Technology, 13, 769-786, (2021), https://doi.org/10.1016/j.jmrt.2021.05.009.

21. Deterministic particle assembly on nanophotonic chips
Khalesi Moghaddam, Bhalla, N., Q.Shen, A., and Natale, G., Journal of Colloid and Interface Science, 603, 259-269, (2021), https://doi.org/10.1016/j.jcis.2021.06.120

20. Sedimentation behavior of a spherical particle in a Giesekus fluid: A CFD–DEM solution
Heydari-Beni, Shor, R. J., and Natale, G., Journal of Non-Newtonian Fluid Mechanics, 291, 104465, (2021), https://doi.org/10.1016/j.jnnfm.2020.104465

19. A review on novel applications of asphaltenes: A valuable waste
Kamkar, and Natale, G., Fuel (Guildford), 285, 119272, (2021), https://doi.org/10.1016/j.fuel.2020.119272

18. Spontaneous chiralization of polar active colloids
De Corato, Pagonabarraga, I., and Natale, G., Physical Review E, 104(4), 044607,(2021), https://doi.org/10.1103/PhysRevE.104.044607
2020

17. Thermocapillary motion of a solid cylinder near a liquid–gas interface
Arslanova, Natale, G., Reddy, N., Clasen, C., and Fransaer, J., Physics of Fluids (1994), 32(12),(2020), https://doi.org/10.1063/5.0027309

16. Scalable chemical synthesis route to manufacture pH-Responsive Janus CaCO3 micromotors
Saad, Kaur, H., and Natale, G., Langmuir, 36(42), 12590-12600, (2020), https://doi.org/10.1021/acs.langmuir.0c02148
2019

15. Oscillatory shear response of the rigid rod model: microstructural evolution
De Corato, M., and Natale, G., Macromolecules, 52(13), 4907-4915, (2019), https://doi.org/10.1021/acs.macromol.9b00407

14. Settling dynamics of two spheres in a suspension of Brownian rods
Kumar, and Natale, G., Physics of Fluids (1994), 31(7), 73104, (2019), https://doi.org/10.1063/1.5108749
13. Oscillatory shear response of the rigid-rod model in nematic regime
Natale, G., and De Corato, M. (2019, November). In APS Division of Fluid Dynamics Meeting Abstracts (pp. Q04-008), https://meetings.aps.org/Meeting/DFD19/Session/Q04.8.

12. Diffusiophoresis of active colloids in viscoelastic media
Saad, and Natale, G., Soft Matter, 15(48), 999–9919, (2019), https://doi.org/10.1039/c9sm01801h

Song, Natale, G., Wang, J., Bond, T., Hejazi, H., Siegler, H. de la H., Gates, I., and Lu., Advanced Materials Interfaces, 6(2), 1801139-n/a, (2019), https://doi.org/10.1002/admi.201801139.
2018

10. Orientation dynamics of dilute functionalized graphene suspensions in oscillatory flow
Natale, Reddy, N. K., Prud'homme, R. K., and Vermant, J., Physical Review Fluids, 3(6),(2018), https://doi.org/10.1103/PhysRevFluids.3.063303.

9. Rheo-optical analysis of functionalized graphene suspensions
Reddy, Natale, G., Prud’homme, R. K., and Vermant, J., Langmuir, 34(26), 7844–7851, (2018), https://doi.org/10.1021/acs.langmuir.8b01574
2017

8. Autophoretic locomotion in weakly viscoelastic fluids at finite Péclet number
Natale, Datt, C., Hatzikiriakos, S. G., and Elfring, G. J.,Physics of Fluids (1994), 29(12),123102, (2017), https://doi.org/10.1063/1.5002729.

7. An active particle in a complex fluid
Datt, Natale, G., Hatzikiriakos, S. G., and Elfring, G. J., Journal of Fluid Mechanics, 823, 675-688, (2017), https://doi.org/10.1017/jfm.2017.353.
2016
6. Modeling interactions in carbon nanotube suspensions: Transient shear flow.
Natale, G., Ausias, G., Férec, J., Heuzey, M. C., and Carreau, P. J., Journal of Rheology, 60(6), 1069-1083, (2016), https://doi.org/10.1122/1.4958666.

5. Synergistic gelation of gelatin B with xanthan gum
Wang, Natale, G., Virgilio, N., and Heuzey, M.-C., Food Hydrocolloids, 60, 374-383, (2016), https://doi.org/10.1016/j.foodhyd.2016.03.043.
2015
4. Rheo-optical response of carbon nanotube suspensions
Natale, G., Reddy, N. K., Ausias, G., Férec, J., Heuzey, M. C., and Carreau, P. J., Journal of Rheology, 59(2), 499-524, (2015), https://doi.org/10.1122/1.4907743.

3. Ionic liquid-water mixtures and ion gels as electrolytes for organic electrochemical transistors
Yi, Natale, G., Kumar, P., Di Mauro, E., Heuzey, M.-C., Soavi, F., Perepichka, I. I., Varshney, S. K., Santato, C., and Cicoira, F., Journal of Materials Chemistry, C, Materials for Optical and Electronic Devices, 3(25), 6549–6553, (2015), https://doi.org/10.1039/c5tc00712g
2014

2. Rheological modeling of carbon nanotube suspensions with rod-rod interactions
Natale, Heuzey, M. C., Carreau, P. J., Ausias, G., and Férec, J., AIChE Journal, 60(4), 1476–1487, (2014), https://doi.org/10.1002/aic.14316
1. Modeling particle population balances in fluidized-bed wood gasifiers
Natale, Galgano, A., and Di Blasi, C., Biomass & Bioenergy, 62, 123–137, (2014), https://doi.org/10.1016/j.biombioe.2014.01.006
Conference Proceedings
2018
1. Numerical evaluation of a single ellipsoid motion in Newtonian and power-law fluids
Férec, J., Ausias, G., and Natale, G., In AIP Conference Proceedings (Vol. 1960, No. 1, p. 020006), AIP Publishing LLC, (2018, May), https://doi.org/10.1063/1.5034807.